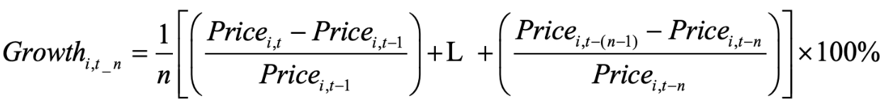
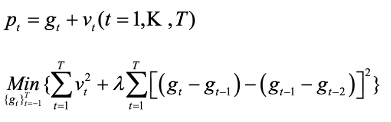
地区
期过去
期移动平均价格增长率法如下:




、
和
分别表示
期房价、房价趋势项和房价波动项。
预期类型 | 理性预期 | 非理性预期 | 情绪 | ||||||||
预期长度 | 10年以上 | 近10年 | 近5年 | 近2年 | 近1年 | 近6个月 | 近3个月 | 近1个月 | 近3周 | 近2周 | 近1周 |
更新频率 | 月 | 月 | 月 | 月 | 月 | 月 | 月 | 月 | 天 | 天 | 天 |
城市 | ● | ● | ● | ● | ● | ● | ● | ● | ● | ● | ● |
区市县 | ● | ● | ● | ● | ● | ● | ● | ● | ● | ||
社区 | ● | ● | ● | ● | ● | ● | |||||
存量房 | ● | ● | ● | ● | ● | ● | ● | ● | ● | ● | ● |
新楼盘 | ● | ● | ● | ● | ● | ● | |||||
预期表现 | |||||||||||
过度乐观 | [100,+∞) | [100,+∞) | [100,+∞) | [50,+∞) | [50,+∞) | [50,+∞) | [20,+∞) | [20,+∞) | [20,+∞) | [20,+∞) | [20,+∞) |
很乐观 | [50,100) | [50,100) | [50,100) | [20,50) | [20,50) | [20,50) | [10,20) | [10,20) | [10,20) | [10,20) | [10,20) |
中度乐观 | [20,50) | [20,50) | [20,50) | [10,20) | [10,20) | [10,20) | [5,10) | [5,10) | [5,10) | [5,10) | [5,10) |
轻度乐观 | [10,20) | [10,20) | [5,20) | [2,10) | [2,10) | [2,10) | [1,5) | [1,5) | [1,5) | [1,5) | [1,5) |
稳定 | ±10% | ±10% | ±5% | ±2% | ±2% | ±2% | ±1% | ±1% | ±1% | ±1% | ±1% |
轻度悲观 | (-20,-10] | (-20,-10] | (-20,-5] | (-10,-2] | (-10,-2] | (-10,-2] | (-5,-1] | (-5,-1] | (-5,-1] | (-5,-1] | (-5,-1] |
中度悲观 | (-50,-20] | (-50,-20] | (-50,-20] | (-20,-10] | (-20,-10] | (-20,-10] | (-10,-5] | (-10,-5] | (-10,-5] | (-10,-5] | (-10,-5] |
很悲观 | (-100,-50] | (-100,-50] | (-100,-50] | (-50,-20] | (-50,-20] | (-50,-20] | (-20,-10] | (-20,-10] | (-20,-10] | (-20,-10] | (-20,-10] |
过度悲观 | (-∞,-100] | (-∞,-100] | (-∞,-100] | (-∞,-50] | (-∞,-50] | (-∞,-50] | (-∞,-20] | (-∞,-20] | (-∞,-20] | (-∞,-20] | (-∞,-20] |
线上客服
0532-58860566
